KÜBAJ / HACİM / HAFRİYAT HESAPLARI

Kübaj / Hacim / Hafriyat Hesapları Nedir?
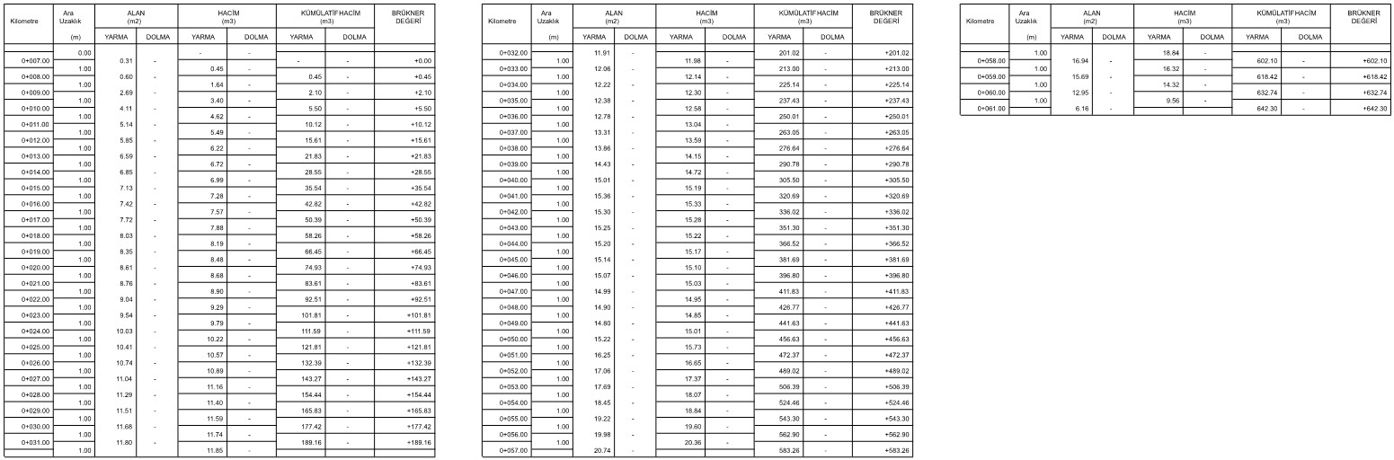
Kübaj / hacim / hafriyat hesapları; belirli bir alan üzerindeki hafriyat işlemlerinin kazı (kesme/yarma) veya dolgu (dolma) miktarının metreküp (m³) cinsinden hesaplanması işlemidir. Mevcut arazi yüzeyi ile projelendirilen veya hafriyat işlemi sonrasında oluşan arazi yüzeyi arasındaki hacim farkı hesabıdır.

Kübaj / Hacim / Hafriyat Hesapları için Kimler Talepte Bulunur?
Kübaj / hacim / hafriyat hesapları; müteahhitler, hafriyat firmaları, maden ocağı işletmecileri veya inşaat kontrol birimleri (belediyeler, Karayolları, DSİ vb.) tarafından talep edilmektedir.

Kübaj / Hacim / Hafriyat Hesaplarına Neden İhtiyaç Duyulur?
- Yapılan veya yapılacak olan kazı ve dolgu miktarını net olarak belirlemek,
- Hakediş ödemelerini doğru yapmak,
- Taşınacak toprak miktarına göre kamyon sayısını planlamak

Kübaj / Hacim / Hafriyat Hesapları Kim Tarafından Yapılır?
Kübaj / hacim / hafriyat hesapları, HKMO'ya kayıtlı tescilli büro sahibi/çalışanı Harita Mühendislerince yapılmaktadır.
Çanakkale Harita Kadastro Mühendislik Bürosu olarak deneyimli mühendis kadromuz ile bu zamana kadar binlerce projeyi hızlı, güvenilir ve profesyonel bir şekilde tamamladık. Siz de kübaj / hacim / hafriyat hesabı işlemleriniz için bizimle iletişime geçebilirsiniz.

Kübaj / Hacim / Hafriyat Hesapları Nasıl Ücretlendirilir?
Kübaj / hacim / hafriyat hesabına konu olan alanın konumuna ve alanın büyüklüğüne (m²) bağlı olarak; kübaj / hacim / hafriyat hesabı için HKMO tarafından belirlenen güncel Mühendislik Hizmetleri Ücret Cetveli'ne göre ücretlendirme yapılmaktadır. Detaylı bilgi ve fiyat teklifi almak için bizimle iletişime geçebilirsiniz.

Kübaj / Hacim / Hafriyat Hesapları için Gerekli Belgeler Nelerdir?
Kübaj / hacim / hafriyat hesapları için gerekli olan belgeler şunlardır:
1) Hafriyat öncesine ait arazide yüksek hassasiyetle yapılan detaylı ölçümler
2) Halihazır harita, vektörel yükseklik eğrisi veya raster SYM verisi (hafriyat öncesine ait ölçümler mevcut değilse )
3) Proje yükseklikleri (hesap işleminin belirli bir proje yüzeyi baz alınarak yapılması planlanıyor ise)
4) Hafriyat sonrasına ait arazide yüksek hassasiyetle yapılan detaylı ölçümler

Kübaj / Hacim / Hafriyat Hesapları Ne Kadar Sürede Yapılır?
Alanın büyüklüğüne ve iş yoğunluğuna bağlı olarak; inşaat şantiyelerindeki kübaj / hacim / hafriyat hesapları için ön ölçüm ve son ölçüm işlemleri genellikle 1'er iş günü içerisinde tamamlanmakta iken, hesap işlemleri de genellikle 1 iş günü sürmektedir. Bu süreç, proje ölçeğine bağlı olarak değişkenlik göstermekte olup; özellikle geniş arazilerde veya yol, köprü, baraj vb. gibi oldukça detaylı ve büyük ölçekli projelerde çok daha zaman alıcı olmaktadır.

Kübaj / Hacim / Hafriyat Hesapları Sonucunda Hangi Çıktılar Elde Edilir?
Kübaj / hacim / hafriyat hesapları sonucunda Brükner değerlerini içeren hacim hesabının .ncz, .dxf, .dwg, .lcg, .kml vb. uzantılı dijital ortam dosyası veya yazıcı çıktısı ilgisine teslim edilir.
KÜBAJ / HACİM / HAFRİYAT HESABI İŞLEMLERİNİZ İÇİN NEDEN ÇANAKKALE HARİTA?

Çanakkale Harita Kadastro Mühendislik Bürosu olarak; başta Çanakkale ili Merkez, Ayvacık, Bayramiç, Biga, Bozcaada, Çan, Eceabat, Ezine, Gelibolu, Gökçeada, Lapseki ve Yenice ilçeleri olmak üzere tüm ilçelerimizde ve Balıkesir, Bursa, İzmir başta olmak üzere tüm çevre illerimizde kübaj / hacim / hafriyat hesabı işlemlerinizi hızlı, güvenilir ve sorunsuz bir şekilde yürütüyoruz.
En ileri teknoloji ölçüm cihazlarımız ve güncel yazılımlarımız ile ofis ve saha süreçlerini ivedilikle ve titiz bir şekilde tamamlıyor; projelerinizde size zaman kazandıran, güncel mevzuata ve yüksek hassasiyetli verilere dayanan profesyonel bir hizmet sunuyoruz. Böylece yanlış uygulamalardan kaynaklı olarak ileride yaşayabileceğiniz tüm risklerden sizi koruyoruz. Deneyimli Harita Mühendislerimizin bölgedeki resmi kurumların işleyişine olan derin hakimiyeti sayesinde dosyalarınızın durumunu yakından takip ediyor, kontrol süreçlerini hızlandırıyor, aynı zamanda sürecin her aşamasında sizi bilgilendirmeyi de ihmal etmiyoruz.
Siz de kübaj / hacim / hafriyat hesabı işlemleriniz için bizimle iletişime geçebilirsiniz.